معادلات جداپذیر شدنی : دسته اول
برخي از معادلات ديفرانسيل، جداپذير نيستند اما با تغيير متغير مناسب، مي توان آن ها را به معادلات جداپذير تبديل کرد.
معادلات ديفرانسيل جداپذير شدني - دسته اول: شکل ساده ي اين معادلات اين گونه است:

[space height='50']
[tabs ] [tab_item title="روش حل" ]
در اين معادله، تغيير متغير u = a x + b y + c را انجام مي دهيم. بنابراين
و داريم :

پس
که اين يک معادله ي جداپذير استاندارد است که پس از حل آن مقدار u را برمي گردانيم.
به مثال زير توجه کنيد :
[/tab_item] [tab_item title="مثال" ]مثال 4.2: جواب عمومي معادله ي
را بيابيد.
حل: قرارمي دهيم u = 4x + 2y + 10 . پس
و داريم :

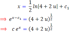
که اين يک معادله ي جداپذير استاندارد است و جواي عمومي آن اين گونه است :

که
. اکنون مقدار u = 4x + 2y + 10 را قرار مي دهيم:

.
[/tab_item] [/tabs]
- بازدید: 10964

- کاربران 818
- مطالب 1059
- نمایش تعداد مطالب 16201696