معادلات دیفرانسیل جداپذیر
ساده ترين شکل معادلات ديفرانسيل، معادلات جداپذير هستند. براي حل اين معادلات کافي است آن ها را به شکل استاندارد در آورده ، انتگرال بگيريم تا تابع مجهول به دست آيد.
معادله جداپذیر
شکل کلي يک معادله ديفرانسيل جداپذير اين گونه است:

يا

که در آن ها
تابعي از x و
تابعي از y است.
شکل استاندارد معادله ديفرانسيل جداپذیر نيز اين گونه است:

که در اين حالت ِ معادله، متغير هاي x و y ، از يکديگر جدا شده اند. يعني عبارات ِ شامل x در يک سمت علامت تساوي و عبارات شامل y در سمت ديگر آن آمده اند. به همين دليل است که اين معادلات را معادلات جداپذير مي گويند.
[tabs ] [tab_item title="روش حل" ]
روش حل معادلات جداپذیر
حل اين معادلات بسيار ساده است. کافي است از عبارات شامل x ، نسبت به x و از عبارات شامل y ، نسبت به y انتگرال بگيريم.
پس جواب عمومي معادله جداپذير استاندارد اين گونه است :

[/tab_item] [tab_item title="مثال 1" ]
مثال 1.2: معادله ي
را حل کنيد.
حل : ابتدا بررسي مي کنيم آيا اين معادله جداپذير است يا خير؟ اگر بتوانيم آن را به صورت استاندارد جداپذير در آوريم، معادله جداپذير است.

پس معادله جداپذير است و جواب عمومي آن به صورت زير است:

چون c عدد ثابت است پس
نيز ثابت است و مي توان آن را
در نظر گرفت. پس
جواب عمومي معادله ي مورد نظر است.
[/tab_item] [tab_item title="اثبات جواب عمومی"]
اثبات جواب عمومی :
براي اينکه ثابت کنيم عبارت
، جواب عمومي عبارت
است، اينگونه عمل مي کنيم:
با اختيار تابع
، معادله ي
به صورت زير در مي آيد:

اکنون اگر
جواب معادله ديفرانسيل باشد داريم:

فرض کنيم q يک تابع اوليه براي h باشد يعني
. در اين صورت داريم:

سمت چپ تساوي بالا، مشتق ِ تابع مرکب
است . پس داريم:

اما
. پس

و

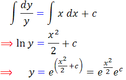
مثال 2.2: تحقيق کنيد آيا معادله ي
، جداپذير است يا خير سپس در صورتي که معادله جداپذير است، جواب عمومي آن را بيابيد :
حل :

بنابراين معادله جداپذير است. اکنون کافي است از طرفين انتگرال بگيريم:

که با استفاده از تکنيک هاي انتگرال گيري، جواب انتگرال هاي بالا به صورت زير خواهد بود :

که اين جواب عمومي معادله ي داده شده است.
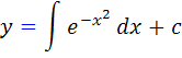
[/tab_item] [tab_item title="مثال 3" ]مثال 3.2: معادله ديفرانسيل جداپذير
را حل کنيد.
حل: شکل استاندارد اين معادله به صورت
است. بنابراين جواب عمومي آن به صورت
است. اما
قابل محاسبه نيست و جواب عمومي به همين شکل باقي مي ماند.
- بازدید: 20294

- کاربران 818
- مطالب 1059
- نمایش تعداد مطالب 16201693