معادله دیفرانسیل کامل شدنی ( عامل انتگرال ساز )
بسياري از معادلات ديفرانسيل ، کامل نيستند ولي آن ها را مي توان به معادلات کامل تبديل نمود.
عامل انتگرال ساز
عامل انتگرال ساز:
فرض کنيم معادله ي

کامل نباشد يعني
. گاهي مي توان تابع غير صفري مانند
را طوري بيابيم که اگر در معادله ي
ضرب شود، آن را به يک معادله ي کامل تبديل کند. به اين تابع ، « عامل انتگرال ساز » معادله ي
مي گوييم.
با ضرب عامل انتگرال ساز در معادله ي
، اين معادله به معادله ي زير تبديل مي شود :

يا به طور خلاصه
که اين معادله يک معادله ي کامل است و خواهيم داشت :

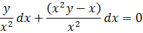
مثال 14.2: به سادگي مي توان ديد که معادله ي
کامل نيست اما هرگاه طرفين آن را در
ضرب کنيم، معادله کامل زير حاصل مي شود:

بنابراين
، يک عامل انتگرال ساز معادله ي داده شده است.
کافي است بدانيد اگر معادله
داراي جواب عمومي
باشد، اين جواب، يک جواب عمومي ِ معادله
نيز است. پس اگر جواب ِ معادله
را بيابيم، معادله
را نيز حل کرده ايم.
- بازدید: 34406

- کاربران 818
- مطالب 1059
- نمایش تعداد مطالب 16201690