روش اول: عامل انتكرال ساز تابعي از x میباشد
اکنون زمان آن فرا رسيده است که بيان کنيم چگونه مي توان يک عامل انتگرال ساز براي يک معادله ديفرانسيل يافت؟
اگر قرار باشد معادله ي
، يک معادله ي ديفرانسيل کامل باشد، بايد در شرايط
صدق کند. پس بايد داشته باشيم
يا به عبارتي
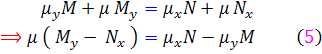
که با استفاده از قانون مشتق حاصلضرب دو تابع داريم :

اکنون با حل اين معادله ، تابع
به دست مي آيد. به نظر مي رسد براي يافتن عامل انتگرال ساز، به معادله اي با مشتقات جزئي رسيده ايم که حل آن به مراتب مشکل تر از معادله اصلي است. اما ما هيچ نيازي به يافتن جواب عمومي معادله ي
نداريم و هر جواب ِ خصوصي ِ آن براي ما مفيد است. در حالت کلي حل معادله ي
دشوار است ولي آن را در دو حالت ِ ويژه ي زير مورد بررسي قرار مي دهيم و تابع
را مي يابيم :
حالت اول: در اين حالت فرض مي کنيم تابع
، تابع تک متغيره اي از x باشد. در اين صورت
و خواهيم داشت :
چون سمت چپ تساوي
، تابعياز x است، پس سمت راست آن نيز بايستي تابعي از x به نام
باشد يعني

در اين صورت خواهيم داشت :

که معادله ي
، يک معادله ي جداپذير استاندارد است و جواب آن اين گونه است :

قبلا ً بيان شد که نيازي به جواب عمومي معادله ي
نيست ، پس از آوردن ثابت در معادله ي
خودداري مي کنيم.
بنابراين در اين حالت ، تابع
، عامل انتگرال ساز معادله ي
مي باشد که
لازم است دقت کنيد که در اين حالت ، از ابتدا مي توانستيم فرض کنيم
تابعي از x باشد. در اين صورت سمت راست تساوي
، تابعي از x بود که نشان مي داد سمت چپ تساوي و در نتيجه
بايد تابعي تک متغيره از x باشد که باز هم به همين عامل انتگرال ساز مي رسيديم.
- بازدید: 14334

- کاربران 818
- مطالب 1059
- نمایش تعداد مطالب 16201696