معادلات جداپذیر شدنی : دسته چهارم
معادلات دیفرانسیل جداپذیر شدنی - دسته چهارم: شکل کلي دسته معادلات ديفرانسيل ديگري که جداپذير شدني هستند اين گونه است :

با شرط
. که
.
در حقيقت a x + b y +c =0 و
با شرط
، معادلات دو خط موازي اند.
در اين حالت، با تغيير متغير u = a x + b y ، معادله ي
به يک معادله ي جداپذير تبديل مي شود.
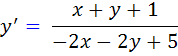
مثال 7.2: جواب معادله ديفرانسيل
را که در شرط اوليه ي y( 0 ) = 1 صدق مي کند، بيابيد.
حل: در اين مثال
. پس از تغيير متغير u = x + y استفاده مي کنيم. داريم:
بنابراين

که اين يک معادله ي جداپذير استاندارد است که جواب عمومي آن اين گونه است:

اکنون قرار مي دهيم u = x + y . پس

اکنون شرط y( 0 ) = 1 را اعمال مي کنيم و c را مي يابيم :

پس جواب خصوصي با شرط y( 0 ) = 1 اين گونه است :

.
- بازدید: 5301

- کاربران 818
- مطالب 1059
- نمایش تعداد مطالب 16201451