معادله دیفرانسیل کامل
تعريف معادله ديفرانسيل کامل:
معادله ديفرانسيل مرتبه اول
را يک معادله ديفرانسيل کامل گوييم هرگاه تابع دو متغيري
وجود داشته باشد به طوري که

.
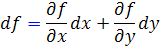
از درس حساب ديفرانسيل و انتگرال مي دانيم :

پس اکر معادله ي
يک معادله ي کامل باشد، تابعي مانند
وجود دارد به طوري که

و چون مشتق تابع f صفر است ، پس بايد تابع f تابع ثابتي باشد. يعني
جواب عمومي معادله ي کامل
است.
مثال 11.2: معادله ديفرانسيل
کامل است زيرا اگر قرار دهيم
، در اين صورت داريم:

پس جواي عمومي معادله به صورت
خواهد بود.
سؤالي که اکنون پيش مي آيد اين است که چگونه مي توانيم بفهميم که معادله ديفرانسيل کامل است؟ آيا حتما ً بايستي تابع f را با شرايط
بيابيم و پس از آن بگوييم چون تابع f وجود دارد، پس معادله
کامل است، يعني ابتدا معادله را حل کنيم و سپس بگوييم کامل است؟ که چه بسا زماني که معادله ديفرانسيل حل شد، ديگر کامل بودن يا نبودن آن براي ما مهم نيست. در واقع، مي خواهيم از کامل بودن ِ معادله دیفرانسیل، به جواب آن برسيم نه از جواب ِ معادله پي به کامل بودن آن ببريم.
در قسمت بعد يک شرط لازم و کافي براي تشخيص کامل بودن ِ يک معادله ديفرانسيل بيان کرد و اثبات مي کنيم.
- بازدید: 44281

- کاربران 818
- مطالب 1059
- نمایش تعداد مطالب 16201690