به زودی: گروه متقارن
با تشکر از شما، برای بهتر و قابل فهم تر شدن تعریف، لطفا $ S_3 $ و به عنوان مثال ۲ بیاورید. چون مثال یک چیز خاصی برای آموزش ندارد. و از طرفی با مطلب قبلی یعنی جایگشت، همانند شود.
گروه متقارن: مجموعه تمام جایگشتهای یک مجموعه n عضوی همراه با عمل دوتایی ترکیب توابع تشکیل یک گروه میدهد، که آن را گروه متقارن گویند و با نماد $ S_{n} $ مشخص میکنند.
برای نمایش این موضوع که مجموعه $S_n$ همراه با عمل دوتایی ترکیب توابع یک گروه است، کافی است که ویژگیهای گروه بودن را برای آنها بررسی کنیم. چهار ویژگی گروه بودن را بررسی میکنیم:
۱. بسته بودن : اگر $\sigma$ و $\pi$ دو جایگشت در مجموعه $ S_{n} $ باشند، آنگاه $ \pi \sigma $ در مجموعه$ S_{n} $ خواهد بود.
۲. شرکتپذیری : برای هر سه جایگشت $\pi , \sigma , r \in S_n$ داریم:
$\pi(\sigma r)= (\pi \sigma)r$
۳. عضو همانی : عضوی چون id در مجموعه $S_{n} $ موجود است به قسمی که به ازای هر $ x \in S $ بگیریم$ id (x) = x $ خواهد شد، و برای هر $ \sigma \in S_{n} $ داریم:
$id \sigma = \sigma id = \sigma $
۴. وارون پذیری : برای هر جایگشت $\sigma \in S_{n}$ عضوی وارونی چون$\pi \in S_{n}$ موجود است به قسمی که داریم:
$\pi \sigma = \sigma \pi = id$
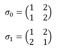
مثال ۱. گروه متقارن $S_2$ را محاسبه کنید و گروه بودن آن را نشان دهید.
برای به دست آوردن گروه متقارن $S_2$ کافی است، تمام جایگشتهای روی مجموعه $S=\{ 1 , 2 \}$ را به دست آورید. که آنها به صورت زیر بیان خواهند شد:

دقت کنید که مجموعه $S_2 = \{ \sigma_0 , \sigma_1\}$ تشکیل یک گروه را میدهد، زیرا نسبت به عمل دوتایی ترکیب توابع تمام ویژگیهای گروه بودن را شامل خواهد شد.
تمرین ۱. گروههای متقارن $S_3$، $S_4$ و $S_5$ را محاسبه کنید و گروه بودن تک تک آنها را مورد بررسی قرار دهید.
- بازدید: 1676

- کاربران 818
- مطالب 1059
- نمایش تعداد مطالب 16201019